
We’ve partnered with Dr. Hemal Patel to provide us with laboratory testing on live tissue samples in order to demonstrate the efficacy of Infoceuticals. This initial research took place in 2021 and is ongoing. We will further this research and gather more data before looking to officially publish results, but early studies are so compelling that we wanted to share them here.

Lung epithelial tissue was placed into one of 3 settings
A standard medium
A solution with a non-imprinted Infoceutical – that is, it was our bottled product but not yet turned into an Infoceutical
A solution with one of our Infoceuticals
Several vials of each medium were used. This way, we could test many tissue sets and come to an average that would weed out fluke results.

After one hour in these media, the cells were exposed to a virus.
After 24 hours, measurement was taken with a fluorescent plate reader to determine viral penetration.

To avoid undue claims, we are not discussing what viruses or Infoceuticals were tested, but are emphasizing the general protective measure offered through bioenergetic support. Please note that Infoceuticals are NOT intended to target diseases or viruses, but to optimize how the body works. So results are based on supporting cells in functioning as well as possible and defending themselves in a natural way.
While the control media showed no viral protection, the Infoceuticals showed meaningful protection, as fewer viruses were able to penetrate into the cells.
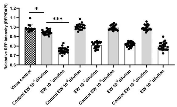
Below is a visual of one test result. Each dot represents a separate vial of tissues tested, and the bar graph shows the average across several vials of each approach.

Notice first that our bottled water without an imprint (gray bars) performs almost exactly as the control medium. It is chemically identical to our Infoceuticals, and the only difference is that our Infoceuticals have gone through our imprinter.
Notice how consistently the Infoceuticals (white bars) acted in every vial in which they were tested and that they worked even at extreme dilutions, supporting the way in which just a few drops can affect the entire human body.
This is just a glance at what we’re working on behind the scenes to support bioenergetics as a movement and, in turn, to support our practitioners.

© Copyright 2026 ENERGY4LIFE
All Rights Reserved.